Официальное опубликование правовых актов
ОФИЦИАЛЬНОЕ ОПУБЛИКОВАНИЕ
Постановление Администрации Псковской области от 18.06.2019 № 235
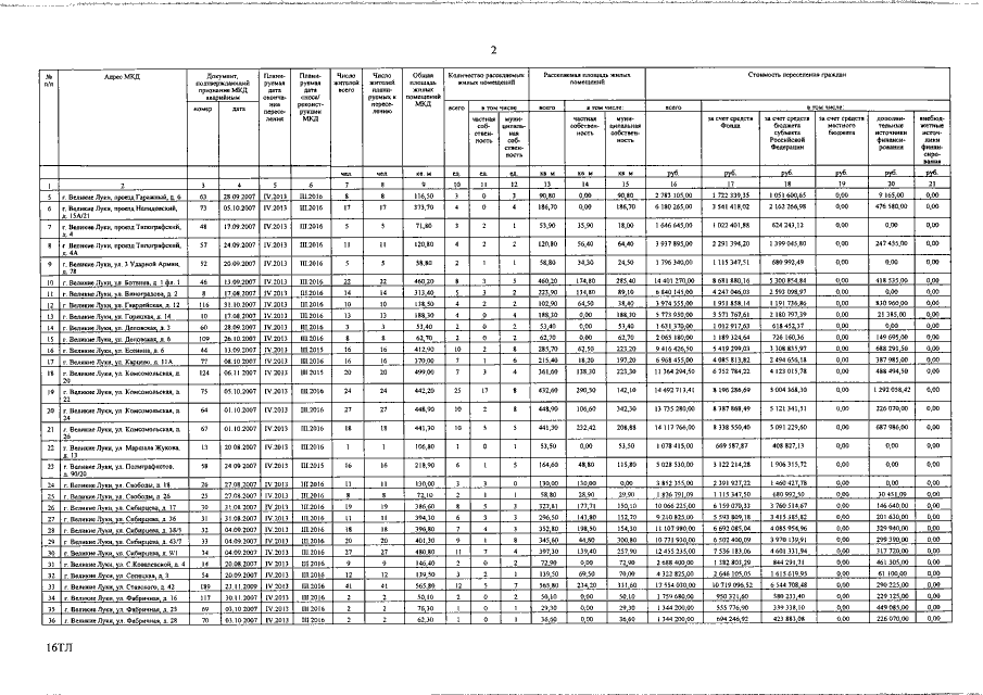
"О внесении изменений в постановление Администрации области от 30 апреля 2013 г. № 190 "Об утверждении областной адресной программы "Переселение граждан из аварийного жилищного фонда в 2013 - 2018 годах"
Номер опубликования: 6000201906210001
Дата опубликования: 21.06.2019
Страница №5 из 32:
Увеличить