Официальное опубликование правовых актов
ОФИЦИАЛЬНОЕ ОПУБЛИКОВАНИЕ
Постановление Администрации Псковской области от 13.05.2019 № 185
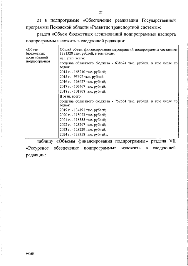
"О внесении изменений в постановление Администрации области от 28 октября 2013 г. № 492 "Об утверждении Государственной программы Псковской области "Развитие транспортной системы"
Номер опубликования: 6000201905160008
Дата опубликования: 16.05.2019
Страница №27 из 56:
Увеличить