Официальное опубликование правовых актов
ОФИЦИАЛЬНОЕ ОПУБЛИКОВАНИЕ
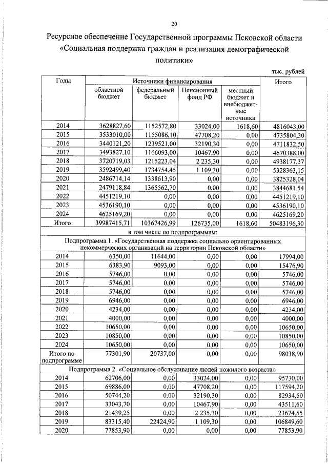
Постановление Администрации Псковской области от 18.04.2019 № 145 "О внесении изменений в постановление Администрации области от 28 октября 2013 г. № 500 "Об утверждении Государственной программы Псковской области "Социальная поддержка граждан и реализация демографической политики на 2014-2020 годы"
Номер опубликования: 6000201904200002
Дата опубликования: 20.04.2019
Страница №20 из 169:
Увеличить