Официальное опубликование правовых актов
ОФИЦИАЛЬНОЕ ОПУБЛИКОВАНИЕ
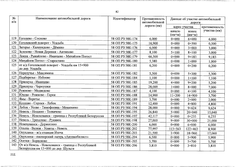
Постановление Администрации Псковской области от 13.02.2019 № 52 "О внесении изменений в постановление Администрации области от 28 октября 2013 г. № 492 "Об утверждении Государственной программы Псковской области "Развитие транспортной системы"
Номер опубликования: 6000201902210001
Дата опубликования: 21.02.2019
Страница №168 из 207:
Увеличить