Официальное опубликование правовых актов
ОФИЦИАЛЬНОЕ ОПУБЛИКОВАНИЕ
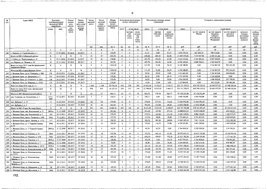
Постановление Администрации Псковской области от 11.02.2019 № 39 "О внесении изменений в областную адресную программу "Переселение граждан из аварийного жилищного фонда в 2013-2018 годах", утвержденную постановлением Администрации области от 30 апреля 2013 г. № 190 "Об утверждении областной адресной программы "Переселение граждан из аварийного жилищного фонда в 2013-2018 годах"
Номер опубликования: 6000201902150007
Дата опубликования: 15.02.2019
Страница №16 из 33:
Увеличить