Официальное опубликование правовых актов
ОФИЦИАЛЬНОЕ ОПУБЛИКОВАНИЕ
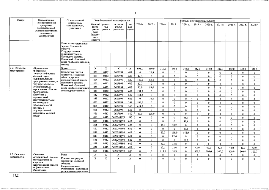
Постановление Администрации Псковской области от 06.02.2019 № 37 "О внесении изменений в постановление Администрации области от 28 октября 2013 г. № 491 "Об утверждении Государственной программы Псковской области "Содействие занятости населения на 2014-2020 годы"
Номер опубликования: 6000201902120015
Дата опубликования: 12.02.2019
Страница №91 из 110:
Увеличить