Официальное опубликование правовых актов
ОФИЦИАЛЬНОЕ ОПУБЛИКОВАНИЕ
Постановление Администрации Псковской области от 16.08.2017 № 339
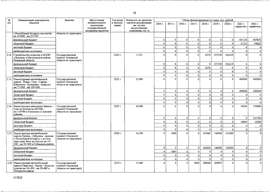
"О внесении изменений в Государственную программу Псковской области "Развитие транспортной системы на 2014-2020 годы"
Номер опубликования: 6000201708230003
Дата опубликования: 23.08.2017
Страница №16 из 53:
Увеличить