Официальное опубликование правовых актов
ОФИЦИАЛЬНОЕ ОПУБЛИКОВАНИЕ
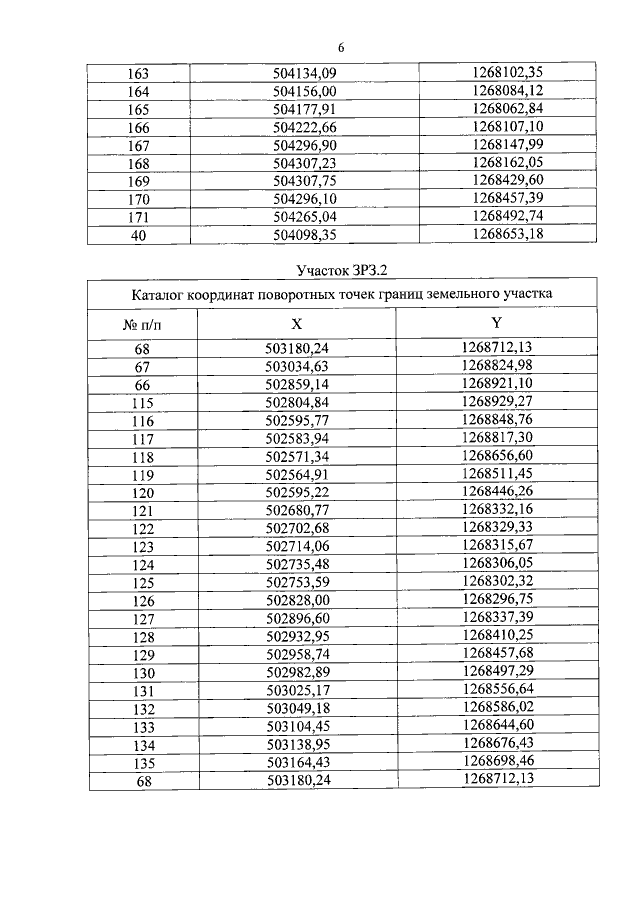
Постановление Псковского областного Собрания депутатов от 11.07.2017 № 313
"Об утверждении границ зон охраны, режимов использования земель и требований к градостроительным регламентам в границах зон охраны объекта культурного наследия регионального значения "Монумент "Ледовое побоище", 1993 г."
Номер опубликования: 6000201707120004
Дата опубликования: 12.07.2017
Страница №8 из 18:
Увеличить