Официальное опубликование правовых актов
ОФИЦИАЛЬНОЕ ОПУБЛИКОВАНИЕ
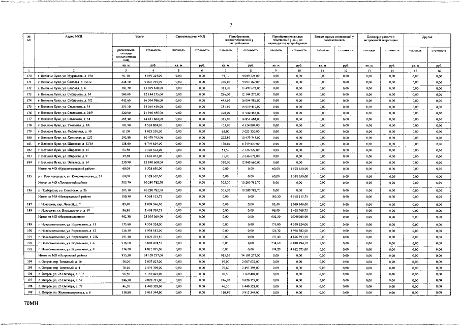
Постановление Администрации Псковской области от 16.05.2017 № 209
"О внесении изменений в областную адресную программу "Переселение граждан из аварийного жилищного фонда в 2013-2017 годах"
Номер опубликования: 6000201705190001
Дата опубликования: 19.05.2017
Страница №28 из 34:
Увеличить