Официальное опубликование правовых актов
ОФИЦИАЛЬНОЕ ОПУБЛИКОВАНИЕ
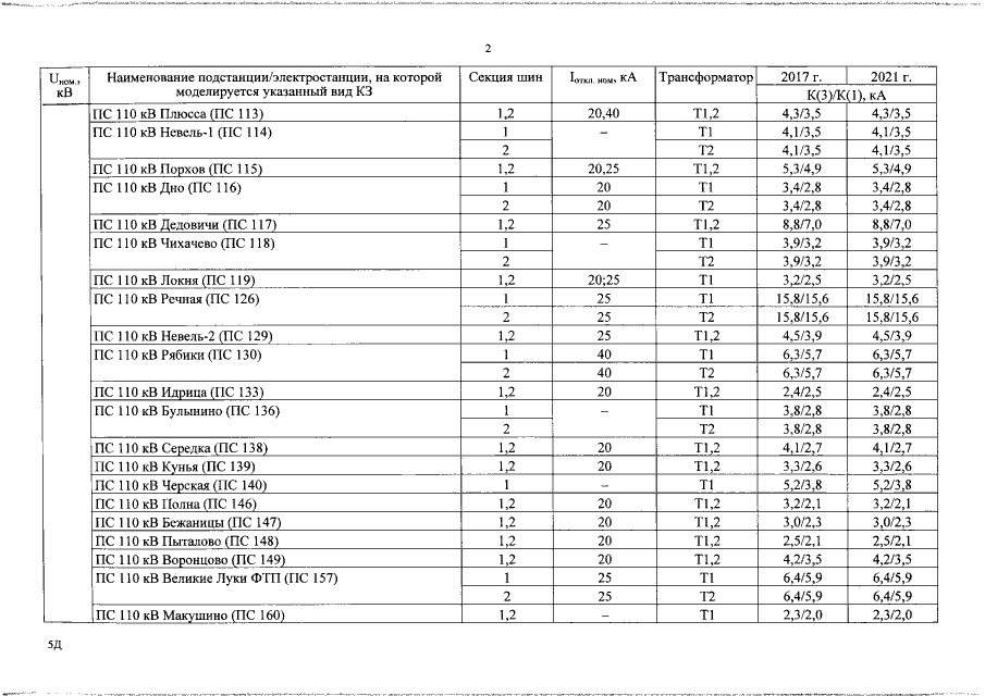
Указ Губернатора Псковской области от 28.04.2017 № 21-УГ
"Об утверждении Схемы и программы развития электроэнергетики Псковской области на 2017-2021 годы"
Номер опубликования: 6000201705050004
Дата опубликования: 05.05.2017
Страница №112 из 132:
Увеличить