Официальное опубликование правовых актов
ОФИЦИАЛЬНОЕ ОПУБЛИКОВАНИЕ
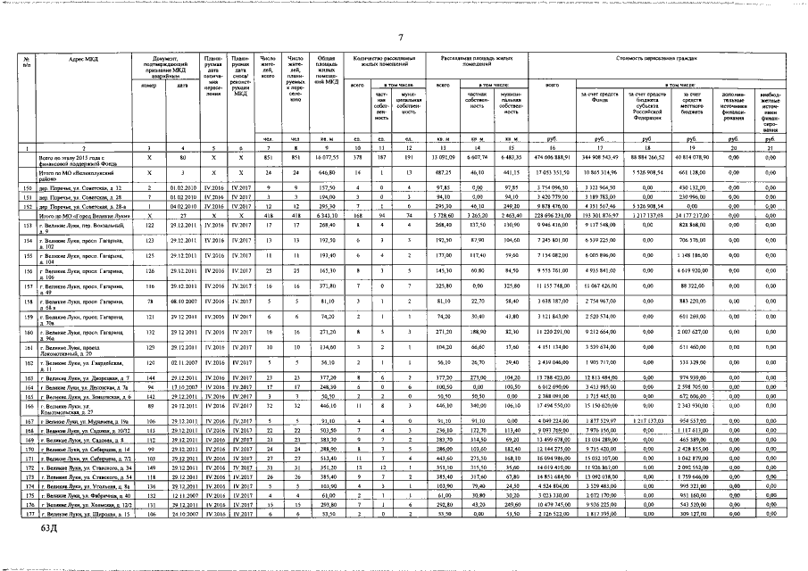
Постановление Администрации Псковской области от 20.04.2017 № 184
"О внесении изменений в областную адресную программу "Переселение граждан из аварийного жилищного фонда в 2013-2017 годах"
Номер опубликования: 6000201704260006
Дата опубликования: 26.04.2017
Страница №14 из 32:
Увеличить