Постановление Администрации Псковской области от 23.03.2017 № 138
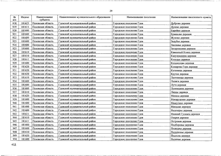
"Об утверждении Перечня отдаленных или труднодоступных местностей на территории Псковской области, где организации и индивидуальные предприниматели могут осуществлять наличные денежные расчеты и (или) расчеты с использованием платежных карт без применения контрольно-кассовой техники"
"Об утверждении Перечня отдаленных или труднодоступных местностей на территории Псковской области, где организации и индивидуальные предприниматели могут осуществлять наличные денежные расчеты и (или) расчеты с использованием платежных карт без применения контрольно-кассовой техники"
Номер опубликования: 6000201703280003
Дата опубликования:
28.03.2017
