Официальное опубликование правовых актов
ОФИЦИАЛЬНОЕ ОПУБЛИКОВАНИЕ
Постановление Псковского областного Собрания депутатов от 16.12.2016 № 129
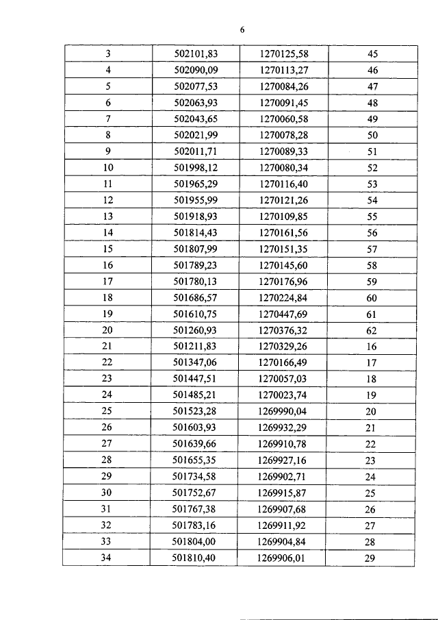
"Об утверждении границ зон охраны, режимов использования земель и требований к градостроительным регламентам в границах зон охраны объекта культурного наследия федерального значения "Церковь Петра и Павла", XV-XVII вв."
Номер опубликования: 6000201612210003
Дата опубликования: 21.12.2016
Страница №8 из 20:
Увеличить