Официальное опубликование правовых актов
ОФИЦИАЛЬНОЕ ОПУБЛИКОВАНИЕ
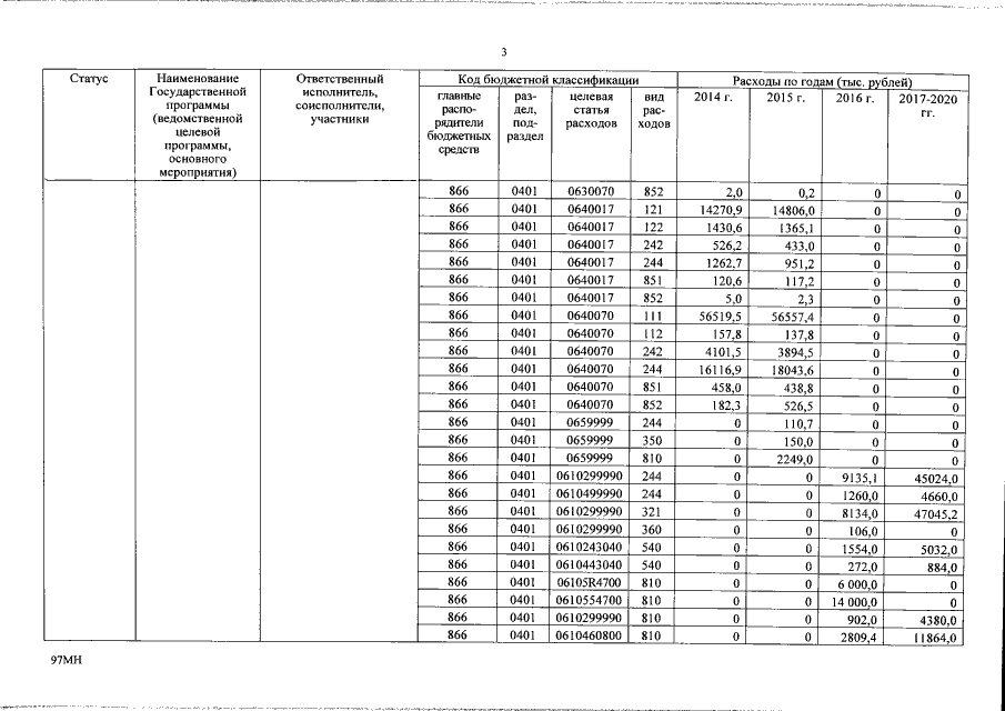
Постановление Администрации Псковской области от 10.10.2016 № 320
"О внесении изменений в Государственную программу Псковской области "Содействие занятости населения на 2014-2020 годы"
Номер опубликования: 6000201610130004
Дата опубликования: 13.10.2016
Страница №41 из 75:
Увеличить