Официальное опубликование правовых актов
ОФИЦИАЛЬНОЕ ОПУБЛИКОВАНИЕ
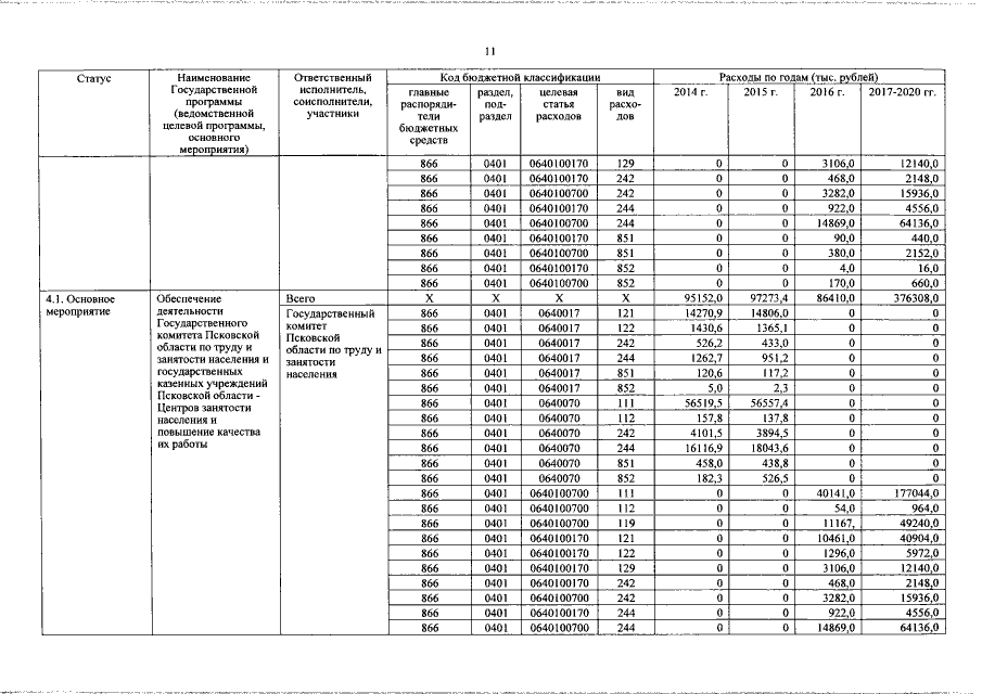
Постановление Администрации Псковской области от 20.05.2016 № 158
"О внесении изменений в Государственную программу Псковской области "Содействие занятости населения на 2014-2020 годы"
Номер опубликования: 6000201605230002
Дата опубликования: 23.05.2016
Страница №34 из 44:
Увеличить