Официальное опубликование правовых актов
ОФИЦИАЛЬНОЕ ОПУБЛИКОВАНИЕ
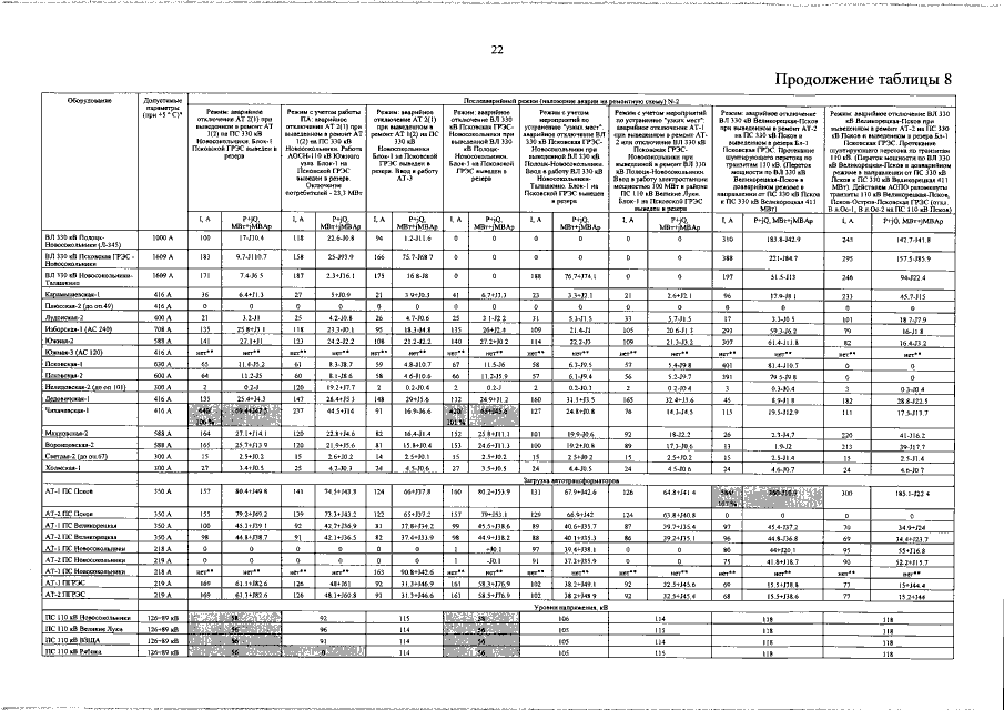
Указ Губернатора Псковской области от 29.04.2016 № 23-УГ
"Об утверждении Схемы и программы развития электроэнергетики Псковской области на 2106-2020 годы"
Номер опубликования: 6000201605060001
Дата опубликования: 06.05.2016
Страница №127 из 142:
Увеличить