Официальное опубликование правовых актов
ОФИЦИАЛЬНОЕ ОПУБЛИКОВАНИЕ
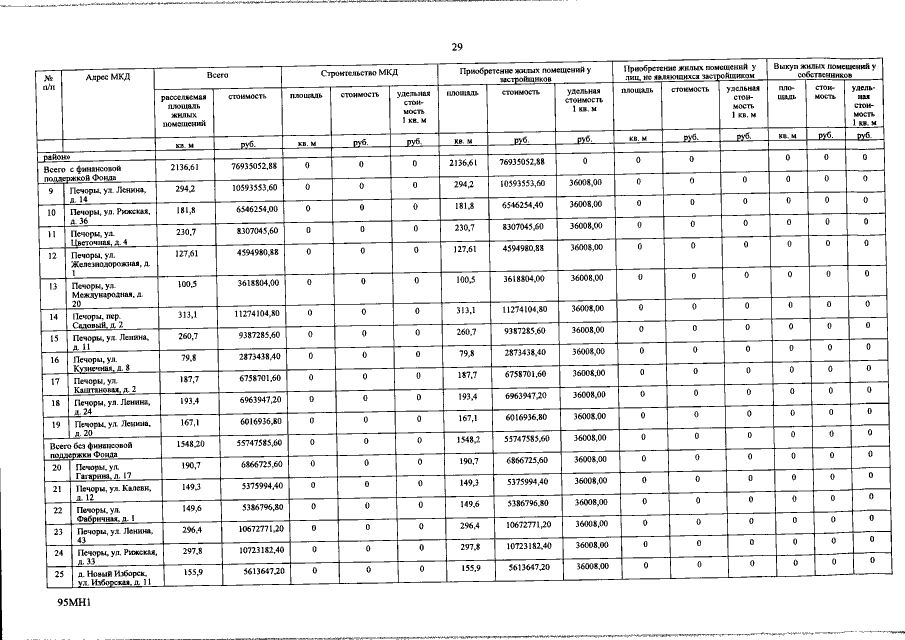
Постановление Администрации Псковской области от 24.03.2015 № 153
"О внесении изменений в областную адресную программу "Переселение граждан из аварийного жилищного фонда в 2013-2017 годах"
Номер опубликования: 6000201503310004
Дата опубликования: 31.03.2015
Страница №33 из 37:
Увеличить