Официальное опубликование правовых актов
ОФИЦИАЛЬНОЕ ОПУБЛИКОВАНИЕ
Приказ Министерства экономического развития и инвестиций Пермского края от 19.08.2024 № 18-02-06-55
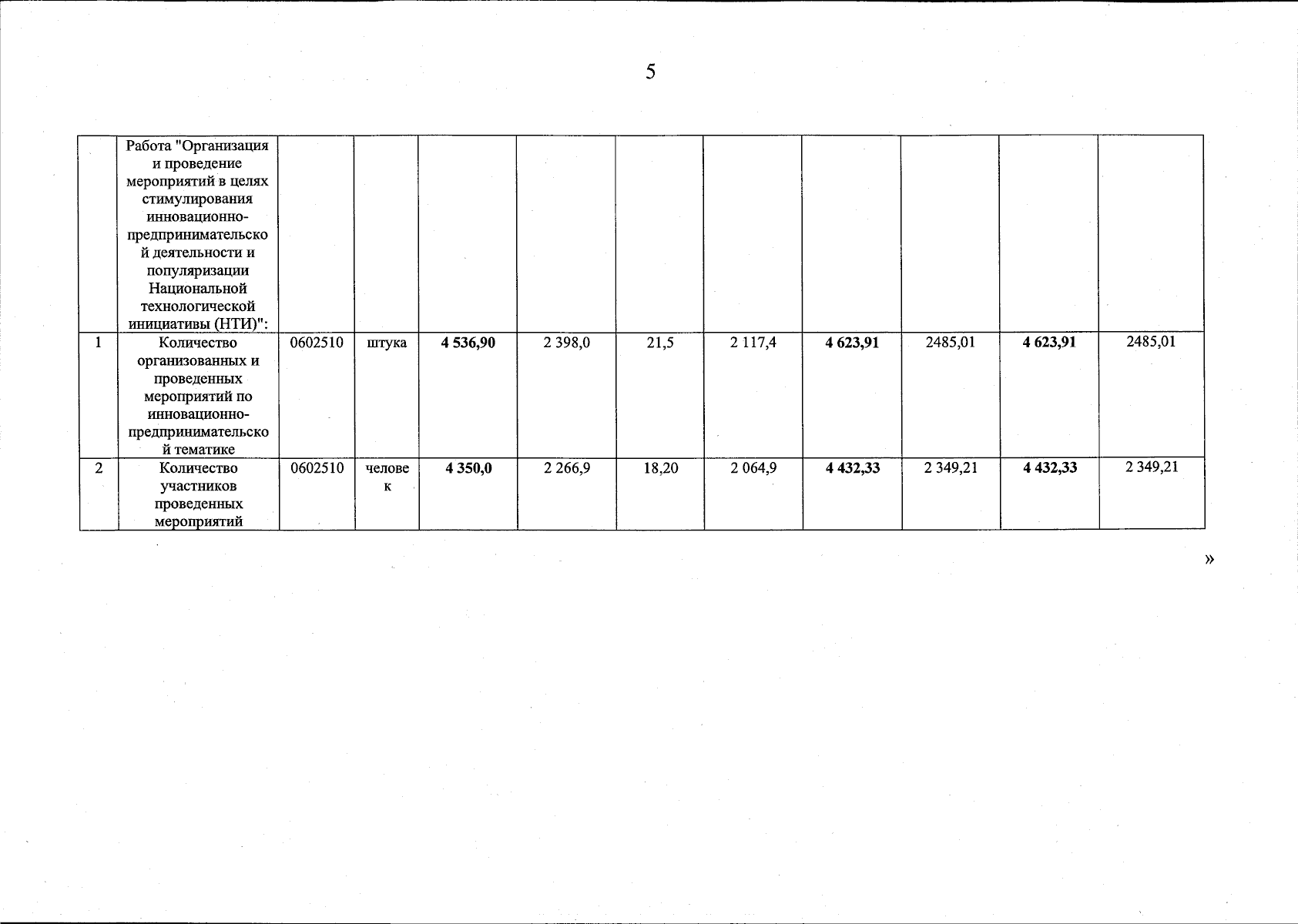
"О внесении изменений в приказ Министерства экономического развития и инвестиций Пермского края от 27 декабря 2023 № 18-02-06-126 "Об утверждении нормативных затрат на оказание государственных услуг (выполнения работ), значений базовых нормативов затрат, значений натуральных норм, используемых для определения нормативных затрат, применяемых при расчете объемов финансового обеспечения выполнения государственного задания на оказание государственных услуг (выполнения работ) государственным бюджетным учреждением Пермского края "Агентство инвестиционного развития" на 2024-2026 гг."
(Зарегистрирован 19.08.2024 № 18-02-06-55)
Номер опубликования: 5901202408200001
Дата опубликования: 20.08.2024
Страница №5 из 18:
Увеличить