Официальное опубликование правовых актов
ОФИЦИАЛЬНОЕ ОПУБЛИКОВАНИЕ
Приказ Министерства природных ресурсов, лесного хозяйства и экологии Пермского края от 04.07.2022 № 30-01-02-836
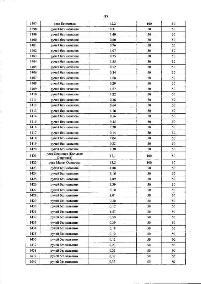
"О внесении изменения в приказ Министерства природных ресурсов, лесного хозяйства и экологии Пермского края от 11 мая 2022 года № 30-01-02-536 "Об утверждении установленных границ водоохранных зон, границ прибрежных защитных полос и границ береговых линий бассейна реки Сылва на территории Пермского края"
Номер опубликования: 5901202207050002
Дата опубликования: 05.07.2022
Страница №35 из 108:
Увеличить