Официальное опубликование правовых актов
ОФИЦИАЛЬНОЕ ОПУБЛИКОВАНИЕ
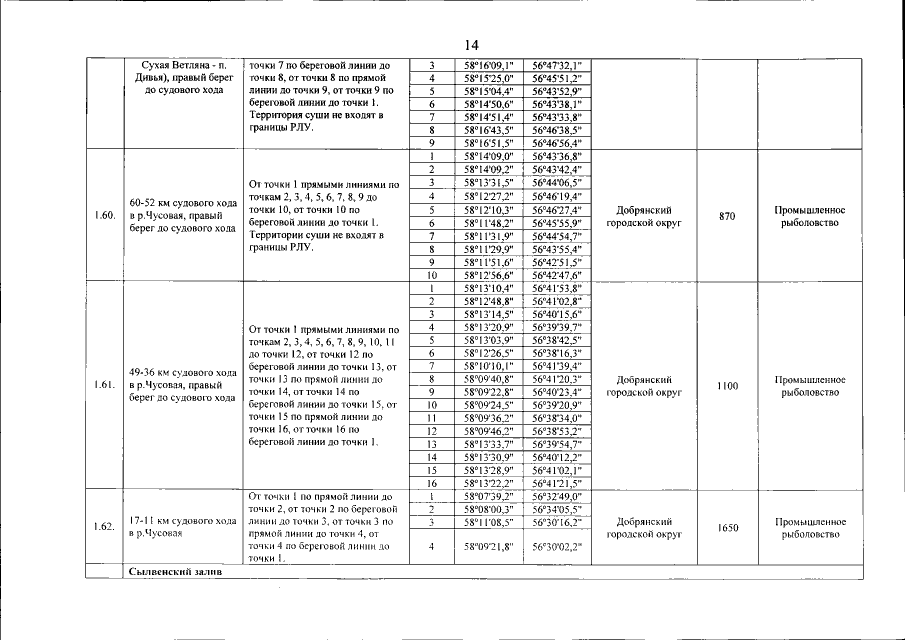
Приказ Министерства природных ресурсов, лесного хозяйства и экологии Пермского края от 11.05.2021 № 30-01-02-616
"Об утверждении Перечня рыболовных участков Пермского края"
Номер опубликования: 5901202105130003
Дата опубликования: 13.05.2021
Страница №16 из 25:
Увеличить