Официальное опубликование правовых актов
ОФИЦИАЛЬНОЕ ОПУБЛИКОВАНИЕ
Приказ Государственной инспекции по экологии и природопользованию Пермского края от 22.10.2018 № СЭД-36-01-03-49
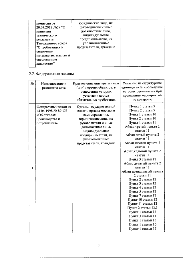
"Об утверждении Перечня правовых актов, содержащих обязательные требования, соблюдение которых оценивается при проведении мероприятий по контролю в рамках отдельных видов регионального государственного экологического надзора"
Номер опубликования: 5901201810250003
Дата опубликования: 25.10.2018
Страница №8 из 41:
Увеличить