Официальное опубликование правовых актов
ОФИЦИАЛЬНОЕ ОПУБЛИКОВАНИЕ
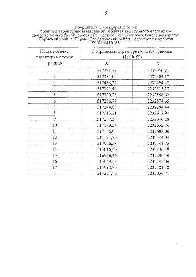
Приказ Государственной инспекции по охране объектов культурного наследия Пермского края от 02.07.2018 № СЭД-55-01-05-344
"О включении в перечень выявленных объектов культурного наследия"
Номер опубликования: 5901201807050010
Дата опубликования: 05.07.2018
Страница №5 из 20:
Увеличить