Официальное опубликование правовых актов
ОФИЦИАЛЬНОЕ ОПУБЛИКОВАНИЕ
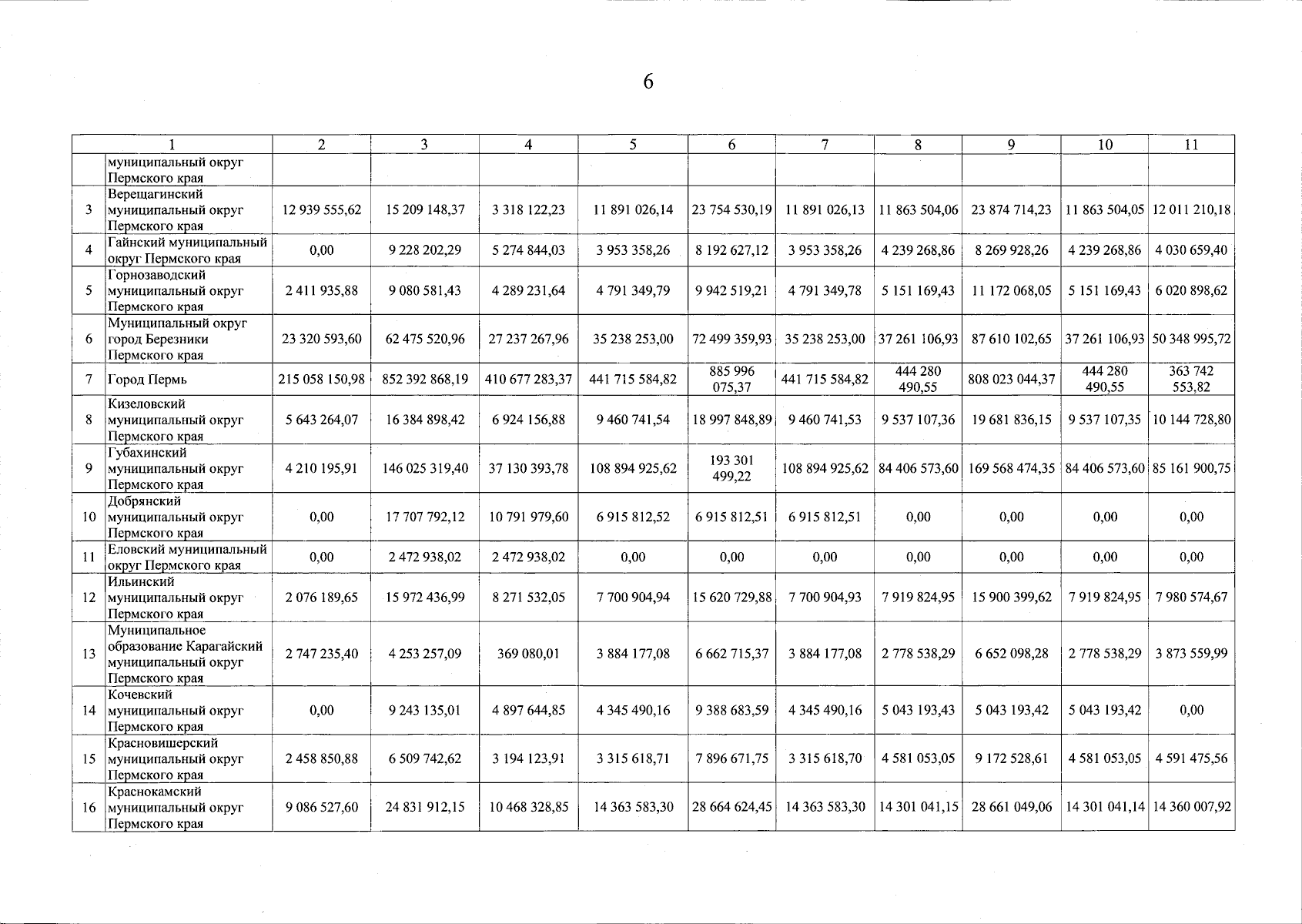
Постановление Правительства Пермского края от 11.11.2025 № 869-п
"О внесении изменений в региональную адресную программу по переселению граждан из аварийного жилищного фонда на территории Пермского края на 2025 – 2031 годы, утвержденную постановлением Правительства Пермского края от 20 июня 2025 г. № 498-п"
Номер опубликования: 5900202511110003
Дата опубликования: 11.11.2025
Страница №7 из 17:
Увеличить