Официальное опубликование правовых актов
ОФИЦИАЛЬНОЕ ОПУБЛИКОВАНИЕ
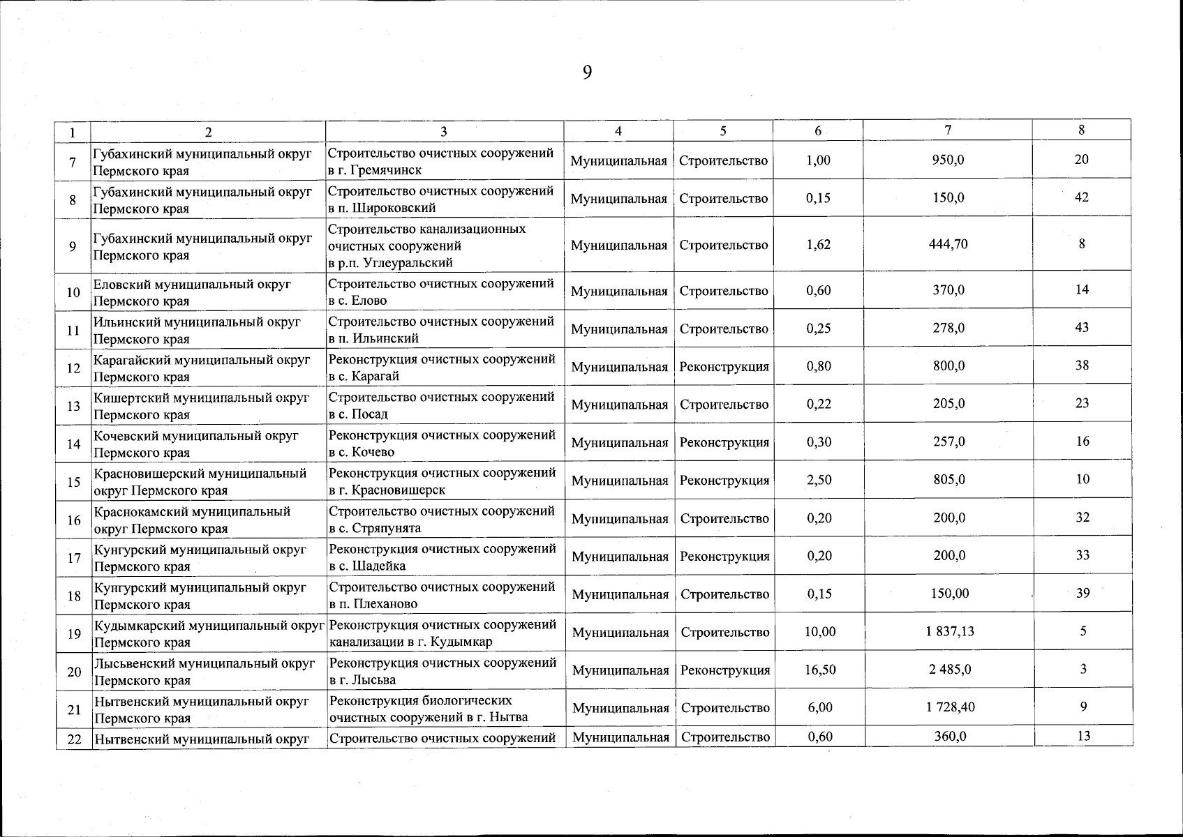
Постановление Правительства Пермского края от 30.04.2025 № 364-п
"Об утверждении региональной программы по строительству, реконструкции (модернизации) очистных сооружений централизованных систем водоотведения на 2026 – 2030 годы"
Номер опубликования: 5900202505050008
Дата опубликования: 05.05.2025
Страница №11 из 21:
Увеличить