Официальное опубликование правовых актов
ОФИЦИАЛЬНОЕ ОПУБЛИКОВАНИЕ
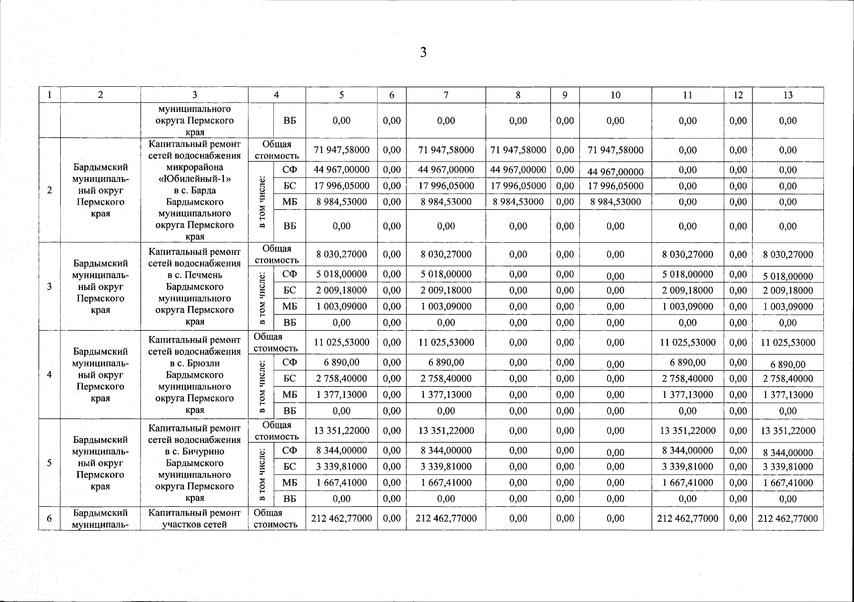
Постановление Правительства Пермского края от 18.04.2025 № 300-п
"О внесении изменений в региональную программу по модернизации систем коммунальной инфраструктуры Пермского края, утвержденную постановлением Правительства Пермского края от 20 апреля 2023 г. № 300-п"
Номер опубликования: 5900202504210022
Дата опубликования: 21.04.2025
Страница №5 из 16:
Увеличить