Постановление Правительства Пермского края от 04.04.2025 № 263-п
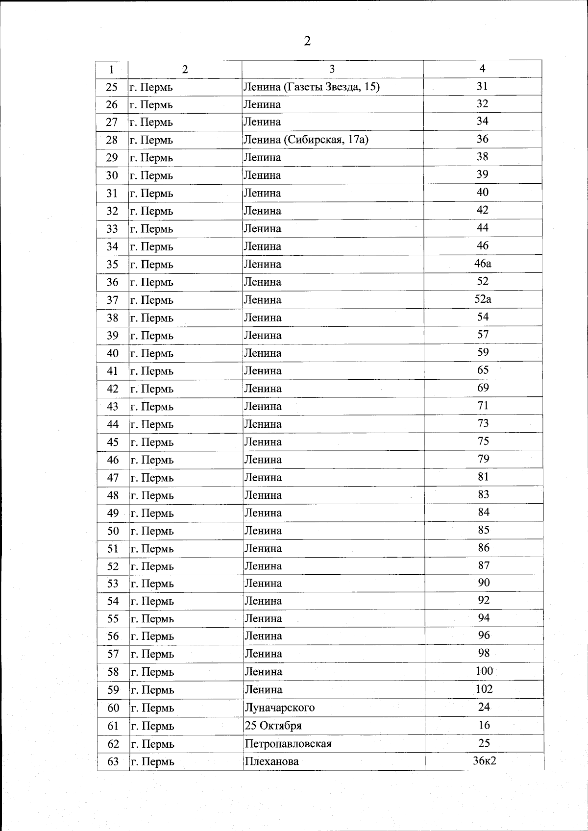
"О внесении изменения в приложение 1 к Порядку предоставления субсидии из бюджета Пермского края бюджету Пермского городского округа на реализацию мероприятий по размещению архитектурной подсветки фасадов административных, жилых объектов (зданий) в г. Перми, утвержденному постановлением Правительства Пермского края от 17 мая 2024 г. № 279-п"
"О внесении изменения в приложение 1 к Порядку предоставления субсидии из бюджета Пермского края бюджету Пермского городского округа на реализацию мероприятий по размещению архитектурной подсветки фасадов административных, жилых объектов (зданий) в г. Перми, утвержденному постановлением Правительства Пермского края от 17 мая 2024 г. № 279-п"
Номер опубликования: 5900202504070002
Дата опубликования:
07.04.2025
