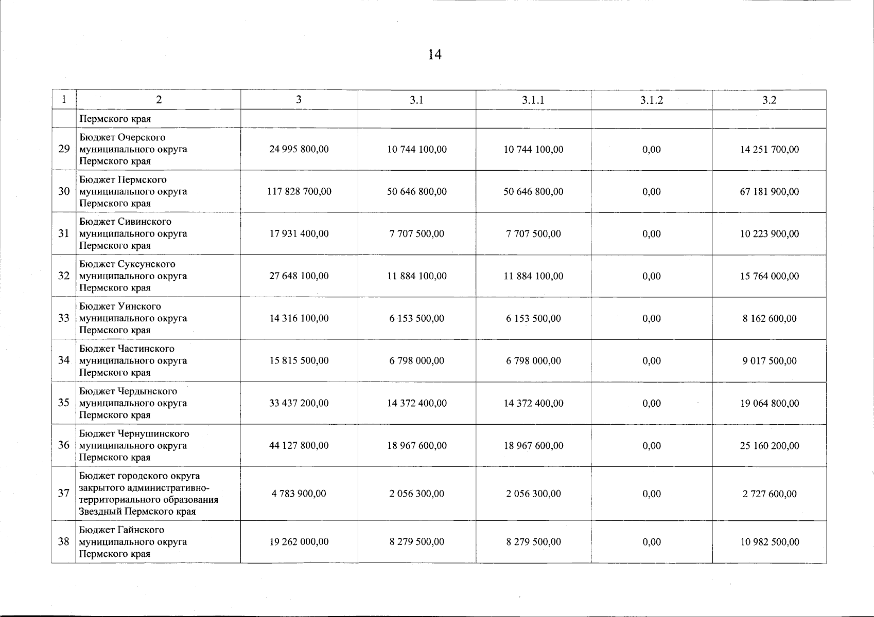
Постановление Правительства Пермского края от 27.12.2024 № 1083-п
"О внесении изменений в постановление Правительства Пермского края от 23 апреля 2020 г. № 259-п "Об утверждении распределения субсидий бюджетам муниципальных образований Пермского края на проектирование и строительство (реконструкцию), капитальный ремонт и ремонт автомобильных дорог общего пользования местного значения, находящихся на территории Пермского края, в 2020 – 2026 годах"
"О внесении изменений в постановление Правительства Пермского края от 23 апреля 2020 г. № 259-п "Об утверждении распределения субсидий бюджетам муниципальных образований Пермского края на проектирование и строительство (реконструкцию), капитальный ремонт и ремонт автомобильных дорог общего пользования местного значения, находящихся на территории Пермского края, в 2020 – 2026 годах"
Номер опубликования: 5900202412280013
Дата опубликования:
28.12.2024
