Официальное опубликование правовых актов
ОФИЦИАЛЬНОЕ ОПУБЛИКОВАНИЕ
Постановление Правительства Пермского края от 30.05.2024 № 305-п
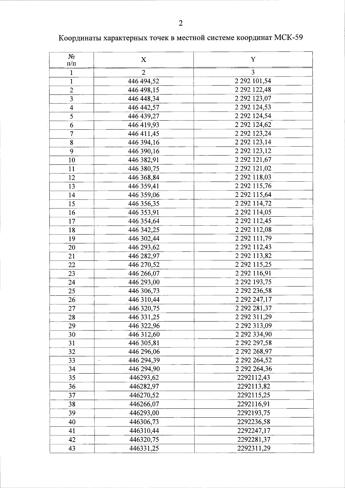
"Об утверждении границ зон охраны объекта культурного наследия регионального значения "Церковь Покрова", расположенного по адресу: Пермский край, Кишертский муниципальный округ, с. Усть-Кишерть, ул. Советская, д. 28а, а также режимов использования земель, земельных участков и требований к градостроительным регламентам в границах данных зон"
Номер опубликования: 5900202405310016
Дата опубликования: 31.05.2024
Страница №4 из 19:
Увеличить