Официальное опубликование правовых актов
ОФИЦИАЛЬНОЕ ОПУБЛИКОВАНИЕ
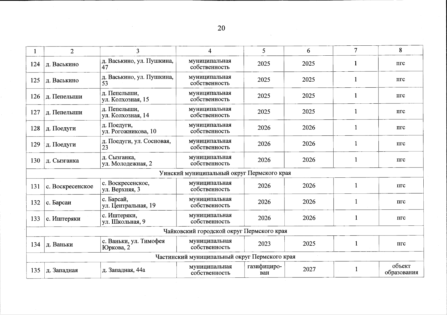
Постановление Правительства Пермского края от 30.05.2024 № 296-п
"Об утверждении Программы перевода источников теплоснабжения объектов социальной сферы, расположенных на территории Пермского края, с твердого топлива на природный газ"
Номер опубликования: 5900202405310009
Дата опубликования: 31.05.2024
Страница №21 из 32:
Увеличить