Официальное опубликование правовых актов
ОФИЦИАЛЬНОЕ ОПУБЛИКОВАНИЕ
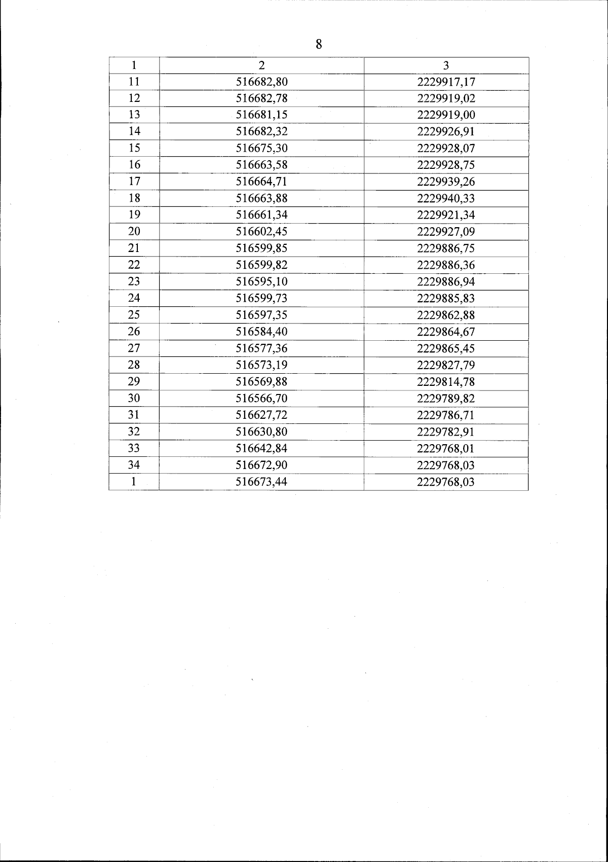
Постановление Правительства Пермского края от 18.12.2023 № 1007-п
"О внесении изменений в Правила землепользования и застройки города Перми, утвержденные решением Пермской городской Думы от 26 июня 2007 г. № 143"
Номер опубликования: 5900202312180004
Дата опубликования: 18.12.2023
Страница №12 из 14:
Увеличить