Официальное опубликование правовых актов
ОФИЦИАЛЬНОЕ ОПУБЛИКОВАНИЕ
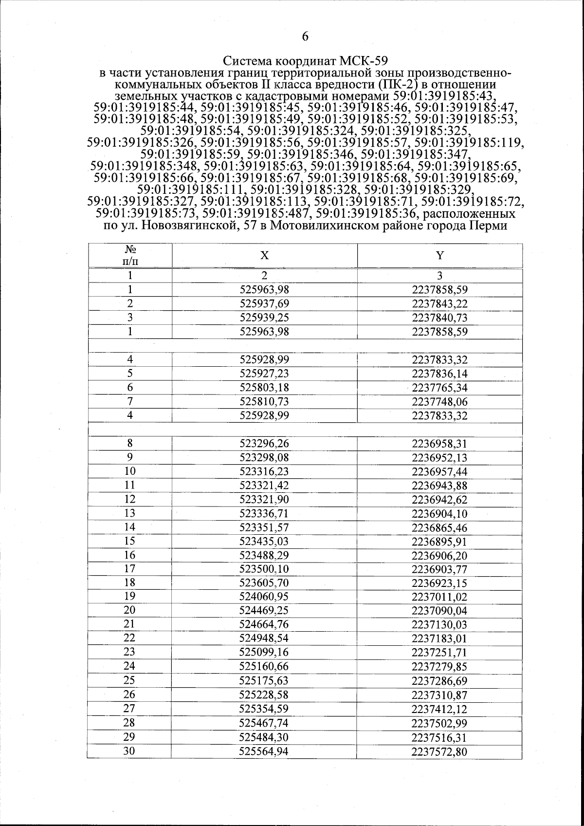
Постановление Правительства Пермского края от 17.10.2023 № 792-п
"О внесении изменений в статью 49 Правил землепользования и застройки города Перми, утвержденных решением Пермской городской Думы от 26 июня 2007 г. № 143"
Номер опубликования: 5900202310180001
Дата опубликования: 18.10.2023
Страница №10 из 13:
Увеличить