Официальное опубликование правовых актов
ОФИЦИАЛЬНОЕ ОПУБЛИКОВАНИЕ
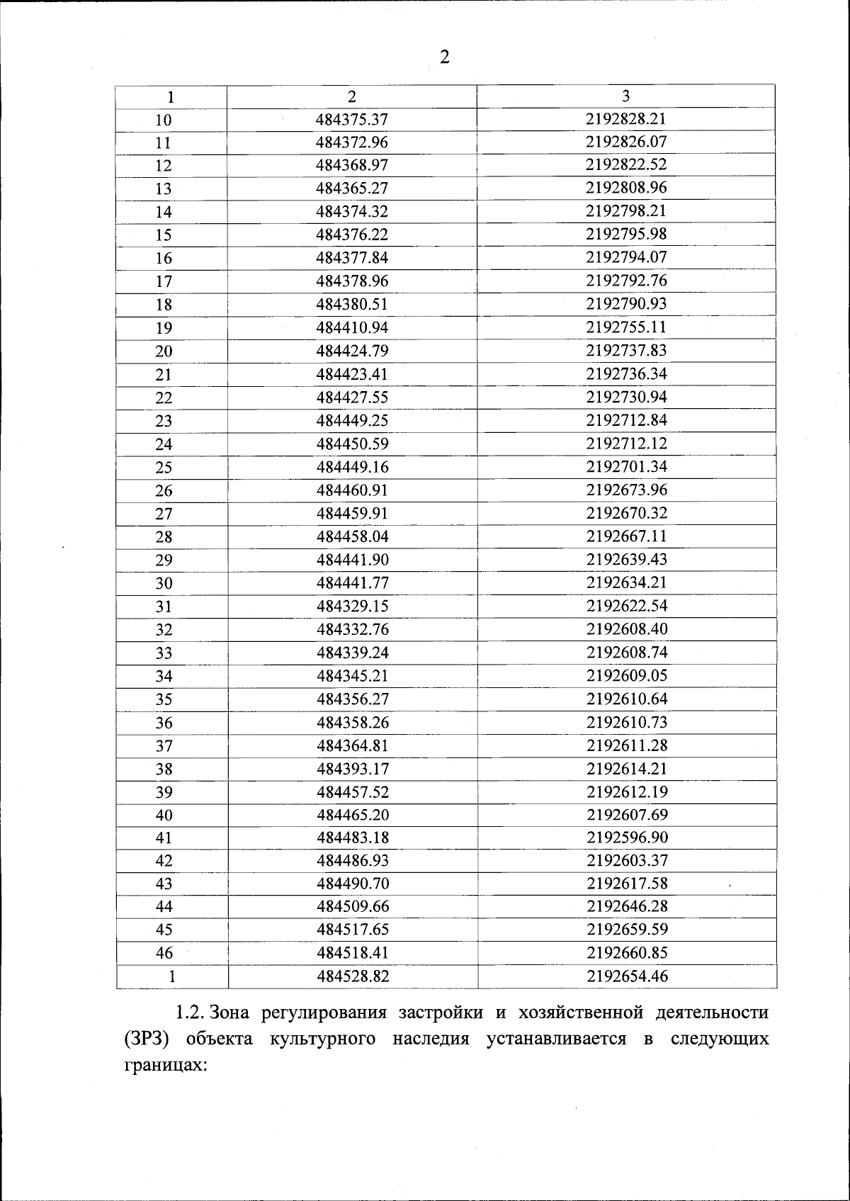
Постановление Правительства Пермского края от 27.09.2023 № 732-п
"Об утверждении границ зон охраны объекта культурного наследия регионального значения "Контора заводская", расположенного по адресу: Пермский край, Пермский муниципальный округ, пос. Юго-Камский, ул. Труда, д. 3, а также режимов использования земель, земельных участков и требований к градостроительным регламентам в границах данных зон"
Номер опубликования: 5900202309280023
Дата опубликования: 28.09.2023
Страница №4 из 17:
Увеличить