Официальное опубликование правовых актов
ОФИЦИАЛЬНОЕ ОПУБЛИКОВАНИЕ
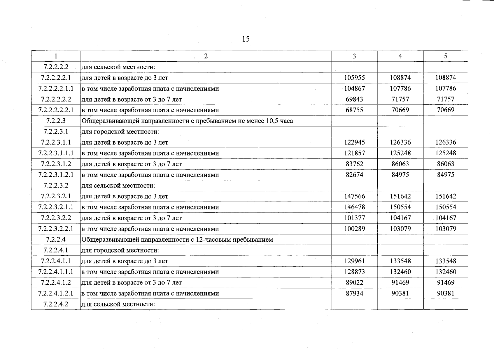
Постановление Правительства Пермского края от 27.09.2023 № 712-п
"Об утверждении расчетных показателей по расходам бюджета Пермского края на обеспечение деятельности казенных учреждений и на предоставление межбюджетных трансфертов на 2024 год и на плановый период 2025 и 2026 годов"
Номер опубликования: 5900202309280004
Дата опубликования: 28.09.2023
Страница №16 из 34:
Увеличить