Официальное опубликование правовых актов
ОФИЦИАЛЬНОЕ ОПУБЛИКОВАНИЕ
Постановление Правительства Пермского края от 26.07.2023 № 570-п
"Об утверждении границ зон охраны объекта культурного наследия регионального значения "Бактериологический институт Пермского губернского земства, архитектор Е.А. Волошинов", расположенного по адресу: Пермский край, Пермский городской округ, г. Пермь, ул. Куйбышева, д. 54а, а также режимов использования земель, земельных участков и требований к градостроительным регламентам в границах данных зон"
Номер опубликования: 5900202307270017
Дата опубликования: 27.07.2023
Страница №4 из 10:
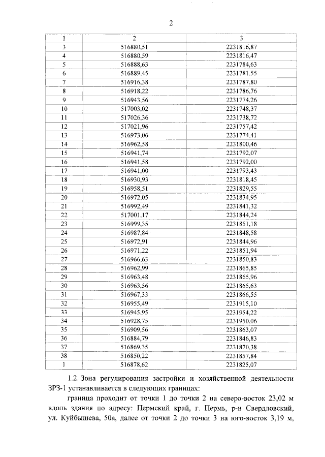
Увеличить