Официальное опубликование правовых актов
ОФИЦИАЛЬНОЕ ОПУБЛИКОВАНИЕ
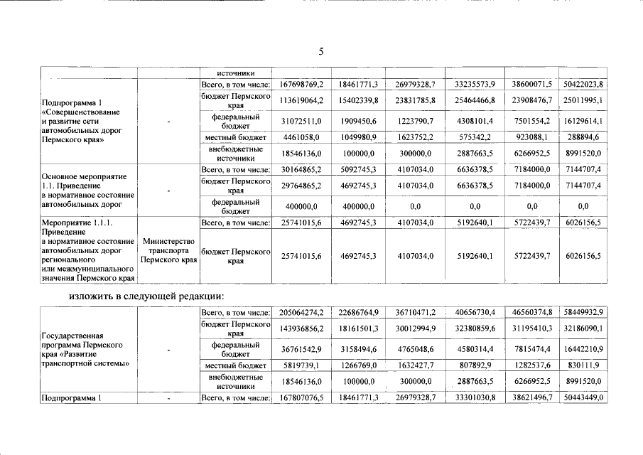
Постановление Правительства Пермского края от 20.04.2023 № 297-п
"О внесении изменений в государственную программу Пермского края "Развитие транспортной системы", утвержденную постановлением Правительства Пермского края от 03 октября 2013 г. № 1323-п"
Номер опубликования: 5900202304210020
Дата опубликования: 21.04.2023
Страница №7 из 22:
Увеличить