Официальное опубликование правовых актов
ОФИЦИАЛЬНОЕ ОПУБЛИКОВАНИЕ
Постановление Правительства Пермского края от 29.12.2022 № 1169-п
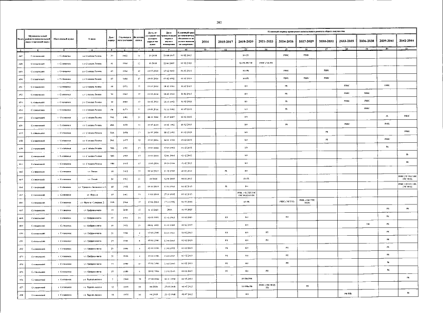
"О внесении изменения в приложение 1 к региональной Программе капитального ремонта общего имущества в многоквартирных домах, расположенных на территории Пермского края, на 2014 – 2044 годы, утвержденной постановлением Правительства Пермского края от 24 апреля 2014 г. № 288-п "Об утверждении региональной Программы капитального ремонта общего имущества в многоквартирных домах, расположенных на территории Пермского края, на 2014 – 2044 годы и предельных стоимостей услуг и (или) работ по капитальному ремонту общего имущества в многоквартирных домах, которые могут оплачиваться региональным оператором за счет средств фонда капитального ремонта"
Номер опубликования: 5900202212300007
Дата опубликования: 30.12.2022
Страница №284 из 400:
Увеличить