Официальное опубликование правовых актов
ОФИЦИАЛЬНОЕ ОПУБЛИКОВАНИЕ
Постановление Правительства Пермского края от 05.10.2022 № 850-п
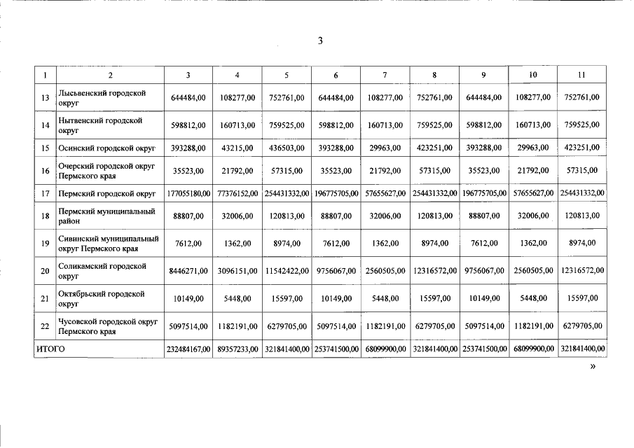
"О внесении изменения в распределение иных межбюджетных трансфертов, предоставляемых бюджетам муниципальных образований Пермского края на возмещение затрат, связанных с организацией перевозки отдельных категорий граждан с использованием электронных социальных проездных документов, а также недополученных доходов юридическим лицам, индивидуальным предпринимателям от перевозки на территории Пермского края отдельных категорий граждан с использованием электронных социальных проездных документов за счет средств бюджета Пермского края, на 2022 год и на плановый период 2023 – 2024 годов, утвержденное постановлением Правительства Пермского края от 23 декабря 2021 г. № 1057-п"
Номер опубликования: 5900202210070009
Дата опубликования: 07.10.2022
Страница №5 из 5:
Увеличить