Официальное опубликование правовых актов
ОФИЦИАЛЬНОЕ ОПУБЛИКОВАНИЕ
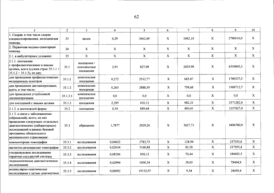
Постановление Правительства Пермского края от 27.07.2022 № 639-п
"О внесении изменений в Территориальную программу государственных гарантий бесплатного оказания гражданам медицинской помощи на 2022 год и на плановый период 2023 и 2024 годов, утвержденную постановлением Правительства Пермского края от 15 февраля 2022 г. № 105-п"
Номер опубликования: 5900202207290002
Дата опубликования: 29.07.2022
Страница №63 из 72:
Увеличить