Официальное опубликование правовых актов
ОФИЦИАЛЬНОЕ ОПУБЛИКОВАНИЕ
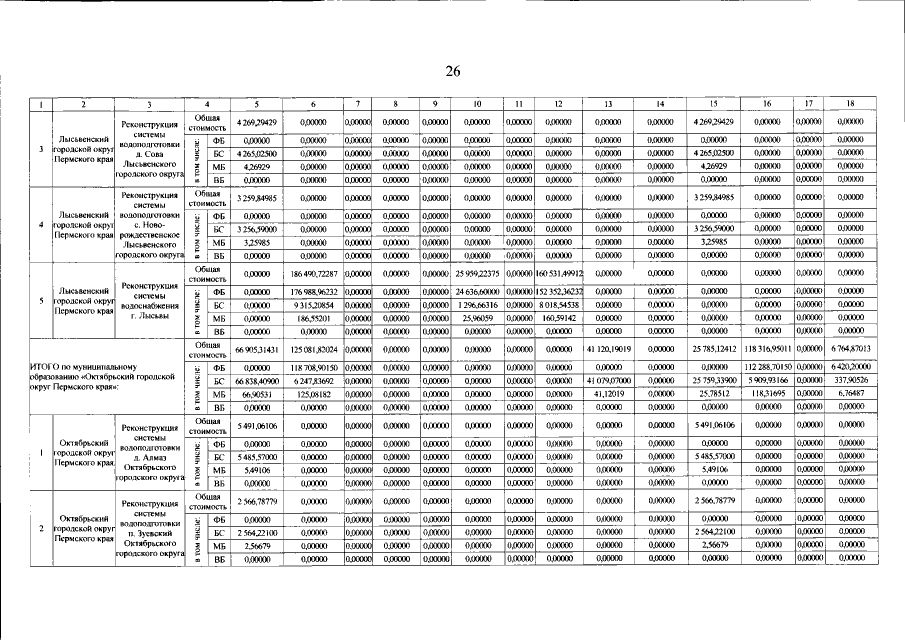
Постановление Правительства Пермского края от 22.06.2022 № 543-п
"О внесении изменений в постановление Правительства Пермского края от 30 сентября 2019 г. № 696-п "Об утверждении региональной программы Пермского края по повышению качества водоснабжения на период с 2019 по 2024 год"
Номер опубликования: 5900202206240003
Дата опубликования: 24.06.2022
Страница №28 из 62:
Увеличить