Официальное опубликование правовых актов
ОФИЦИАЛЬНОЕ ОПУБЛИКОВАНИЕ
Постановление Правительства Пермского края от 23.06.2021 № 429-п
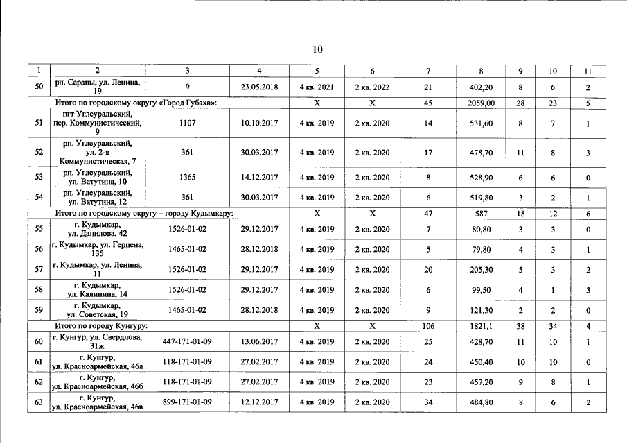
"О внесении изменений в постановление Правительства Пермского края от 24 апреля 2018 г. № 217-п "Об утверждении региональной адресной программы по расселению аварийного жилищного фонда на территории Пермского края на 2019 – 2022 годы"
Номер опубликования: 5900202106240008
Дата опубликования: 24.06.2021
Страница №12 из 37:
Увеличить