Официальное опубликование правовых актов
ОФИЦИАЛЬНОЕ ОПУБЛИКОВАНИЕ
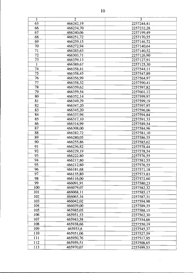
Постановление Правительства Пермского края от 21.05.2021 № 308-п
"Об утверждении границ зоны охраны объекта культурного наследия регионального значения – памятника "Церковь Никольская", расположенного по адресу: Пермский край, Кунгурский муниципальный округ, с. Кыласово, Переулок Светлый, д. 1, а также режимов использования земель, земельных участков и требований к градостроительным регламентам в границах данной зоны"
Номер опубликования: 5900202105240014
Дата опубликования: 24.05.2021
Страница №12 из 17:
Увеличить