Официальное опубликование правовых актов
ОФИЦИАЛЬНОЕ ОПУБЛИКОВАНИЕ
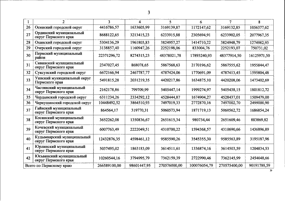
Постановление Правительства Пермского края от 30.12.2020 № 1065-п
"О внесении изменений в постановление Правительства Пермского края от 20 августа 2020 г. № 608-п "Об утверждении перераспределения субсидий, передаваемых в 2020 году и в плановом периоде 2021 и 2022 годов бюджетам муниципальных образований на реализацию мероприятий, направленных на комплексное развитие сельских территорий (благоустройство сельских территорий), и о внесении изменений в отдельные постановления Правительства Пермского края по вопросу распределения субсидий из бюджета Пермского края бюджетам муниципальных образований Пермского края"
Номер опубликования: 5900202012310005
Дата опубликования: 31.12.2020
Страница №5 из 5:
Увеличить