Официальное опубликование правовых актов
ОФИЦИАЛЬНОЕ ОПУБЛИКОВАНИЕ
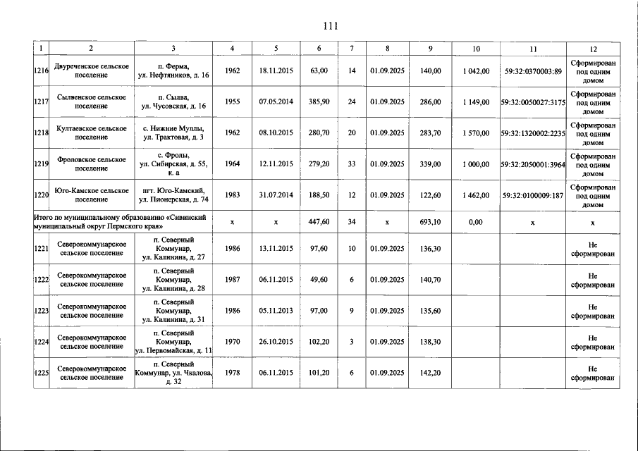
Постановление Правительства Пермского края от 19.11.2020 № 890-п
"О внесении изменений в региональную адресную программу по переселению граждан из аварийного жилищного фонда на территории Пермского края на 2019 – 2025 годы, утвержденную постановлением Правительства Пермского края от 29 марта 2019 г. № 227-п"
Номер опубликования: 5900202011200002
Дата опубликования: 20.11.2020
Страница №112 из 189:
Увеличить