Официальное опубликование правовых актов
ОФИЦИАЛЬНОЕ ОПУБЛИКОВАНИЕ
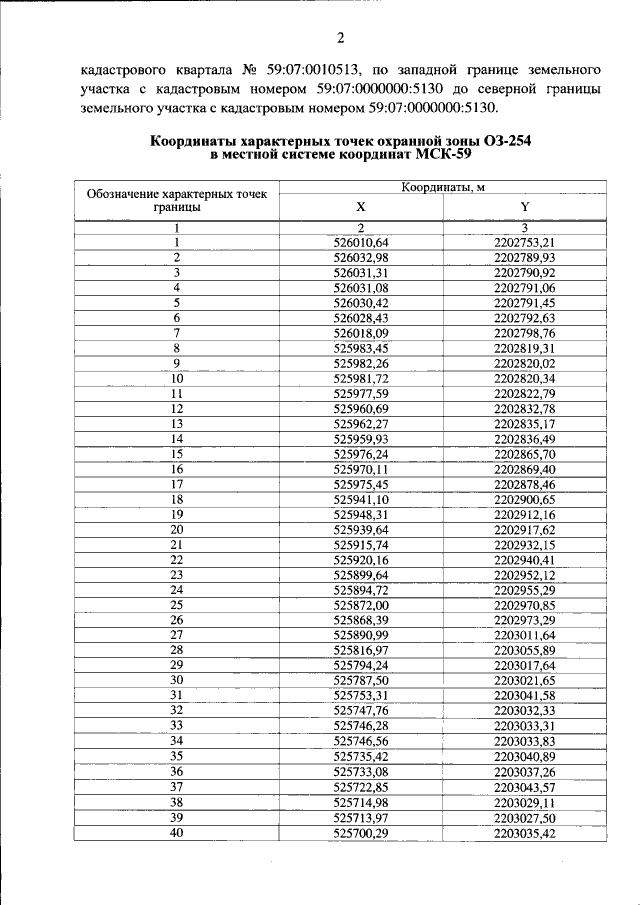
Постановление Правительства Пермского края от 07.10.2020 № 751-п
"Об утверждении границ зон охраны объекта культурного наследия регионального значения – памятника "Жилдом на 205 квартир", расположенного по адресу: Пермский край, Краснокамский городской округ, г. Краснокамск, пр. Мира, д. 9, а также режимов использования земель, земельных участков и требований к градостроительным регламентам в границах данных зон"
Номер опубликования: 5900202010090009
Дата опубликования: 09.10.2020
Страница №4 из 23:
Увеличить