Официальное опубликование правовых актов
ОФИЦИАЛЬНОЕ ОПУБЛИКОВАНИЕ
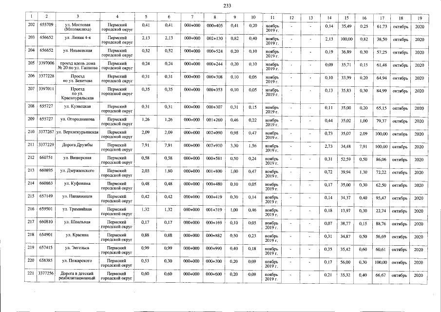
Постановление Правительства Пермского края от 30.09.2020 № 742-п
"О внесении изменения в государственную программу Пермского края "Развитие транспортной системы", утвержденную постановлением Правительства Пермского края от 03 октября 2013 г. № 1323-п"
Номер опубликования: 5900202010020013
Дата опубликования: 02.10.2020
Страница №235 из 290:
Увеличить