Официальное опубликование правовых актов
ОФИЦИАЛЬНОЕ ОПУБЛИКОВАНИЕ
Постановление Правительства Пермского края от 23.06.2020 № 440-п
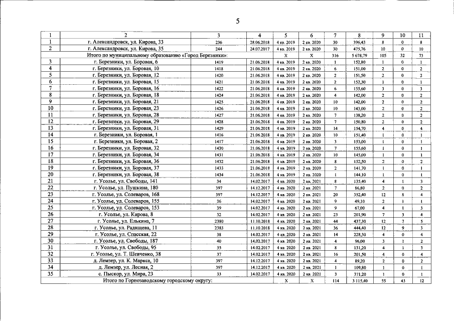
"О внесении изменений в постановление Правительства Пермского края от 24 апреля 2018 г. № 217-п "Об утверждении региональной адресной программы по расселению аварийного жилищного фонда на территории Пермского края на 2019 – 2021 годы"
Номер опубликования: 5900202006250002
Дата опубликования: 25.06.2020
Страница №6 из 22:
Увеличить