Официальное опубликование правовых актов
ОФИЦИАЛЬНОЕ ОПУБЛИКОВАНИЕ
Постановление Правительства Пермского края от 24.12.2019 № 982-п
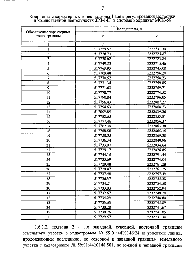
"Об утверждении границ зон охраны объектов культурного наследия регионального значения – достопримечательного места "Губернский центр" (г. Пермь, Ленинский, Свердловский районы, мкр. Центр, Разгуляй), памятников "Дом архитектора А.Б. Турчевича" (ул. Екатерининская, 32), "Кирха лютеранская" (ул. Екатерининская, 43), "Костел римско-католический" (ул. Пушкина, 28), "Здание частной мужской гимназии Циммерман, где учился К.П. Матвеев" (ул. Луначарского, 19), "Дом жилой А.В. Холмогоровой" (ул. Луначарского, 11), "Особняк А.Н. Серикова. Здесь в рабочем клубе им. Толмачева выступали А.В. Луначарский, А.А. Шпагин, Р.С. Землячка" (ул. Малая Ямская, 9), "Тоннель и подпорная стенка ж/д перегона Пермь-1 – Пермь-2" (ул. Монастырская, береговой склон р. Слудка), а также режимов использования земель, земельных участков и требований к градостроительным регламентам в границах данных зон"
Номер опубликования: 5900201912270017
Дата опубликования: 27.12.2019
Страница №9 из 19:
Увеличить