Официальное опубликование правовых актов
ОФИЦИАЛЬНОЕ ОПУБЛИКОВАНИЕ
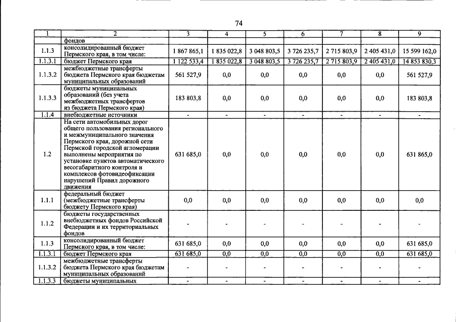
Постановление Правительства Пермского края от 30.09.2019 № 687-п
"О внесении изменения в государственную программу Пермского края "Развитие транспортной системы", утвержденную постановлением Правительства Пермского края от 03 октября 2013 г. № 1323-п"
Номер опубликования: 5900201910070002
Дата опубликования: 07.10.2019
Страница №76 из 244:
Увеличить