Официальное опубликование правовых актов
ОФИЦИАЛЬНОЕ ОПУБЛИКОВАНИЕ
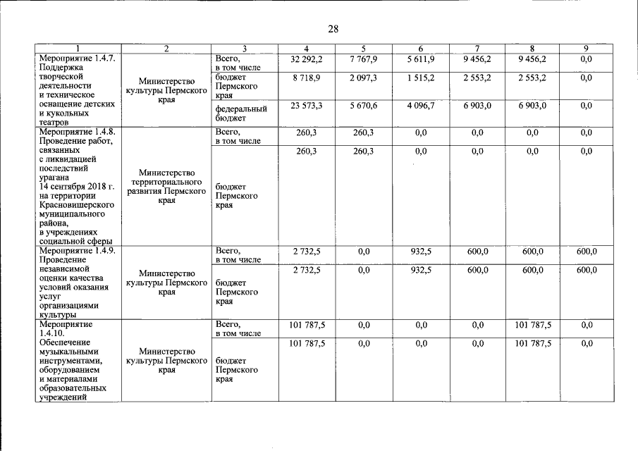
Постановление Правительства Пермского края от 26.09.2019 № 680-п
"О внесении изменения в государственную программу Пермского края "Пермский край – территория культуры", утвержденную постановлением Правительства Пермского края от 03 октября 2013 г. № 1317-п"
Номер опубликования: 5900201910020004
Дата опубликования: 02.10.2019
Страница №30 из 37:
Увеличить