Официальное опубликование правовых актов
ОФИЦИАЛЬНОЕ ОПУБЛИКОВАНИЕ
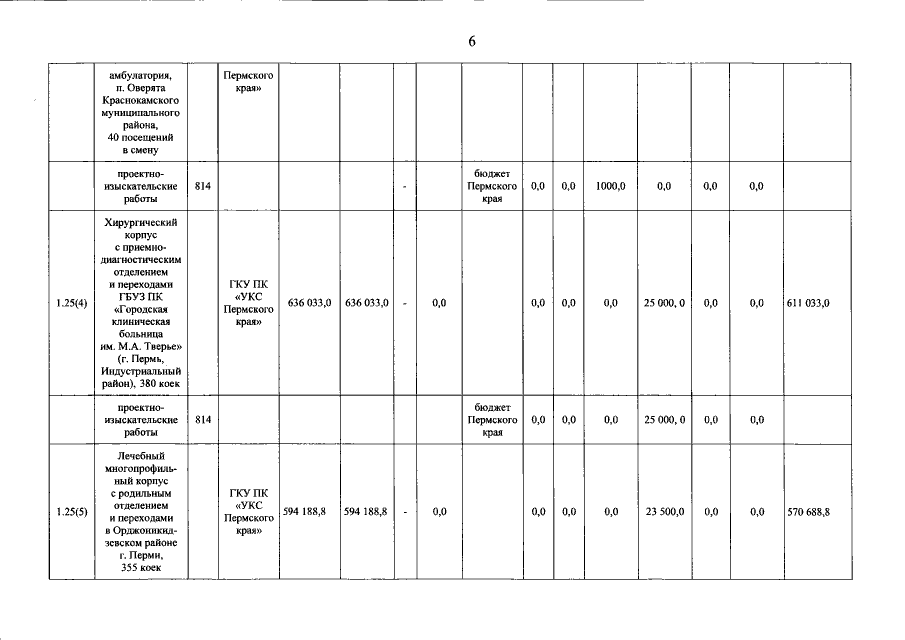
Постановление Правительства Пермского края от 14.11.2018 № 696-п
"О внесении изменений в Адресную инвестиционную программу Пермского края, утвержденную постановлением Правительства Пермского края от 19 сентября 2017 г. № 785-п"
Номер опубликования: 5900201811140004
Дата опубликования: 14.11.2018
Страница №7 из 13:
Увеличить